domingo, 20 de septiembre de 2015

¡Vuelta al cole!


Hay un tópico sobre los veranos que viene avalado por el sentido común y por datos históricos: volúmenes reducidos; y otro que se extiende al otoño: ¡peligro! ¿Se desplomarán definitivamente los mercados en breve? ¿nos sorprenderán al alza?

Para quienes hayan estado disfrutando de las vacaciones y permanecido desconectados de la actualidad, aquí dejamos un breve resumen con lo ocurrido durante el verano y el estado de cosas actual:

  • De repente, Grecia ya no parece preocupar a nadie.
  • Temores sobre el crecimiento económico mundial, especialmente en China.
  • Las expectativas de inflación se han visto reducidas.
  • "Experimentos" de los bancos centrales: en buena parte del mundo siguen imprimiendo dinero a toda máquina.
  • Desplome en Agosto tras la devaluación por sorpresa del Yuán Chino.
  • Reuniones de la FED norteamericana en las que nunca se termina de materializar esa anunciada subida de tipos.

¿Cómo ha afectado todo ellos a los distintos activos?

-Bolsas: tras el desplome -en algunos índices en torno al 10%- se ha recuperado aproximadamente la mitad de lo perdido; la cuestión ahora es dilucidar si estamos ante un cambio de tendencia o ha sido una sana y largamente esperada corrección, aún a pesar de su virulencia; y la otra cuestión pendiente: ¿hasta qué punto ha sido inducida o amplificada por algoritmos automáticos de HFT y estrategias de inversión tipo risk parity?

-Deuda: sin grandes cambios en la rentabilidad de la de corto plazo, algunos recortes en los mas largos y notables alzas en la de más riesgo (high yield).

-Divisas: el USD ha estado dando bandazos reflejando las mayores o menores expectativas de subidas de un cuarto de punto en los EEUU; por el momento no ha ocurrido y hay cierto consenso en que tal vez no las veamos al menos durante lo que resta de 2015; por otro lado, la devaluación del Yuán provocó una tormenta en el Forex, especialmente en las divisas de emergentes.

-Materias primas: en general continuan las caídas, con matices; los metales preciosos podrían haber tocado fondo (el oro ha rozado los 1000$/onza), tal vez los industriales también (dudas sobre las reservas y el consumo futuro en China) y también la energía (petróleo en mínimos no vistos desde hace muchos años, gas muy barato, pero preocupación sobre abastecimiento de Uranio); caídas también en productos agrícolas, muy acusadas en las fuertemente dependientes de divisas como el Real brasileño.

¿A qué debemos prestar atención durante las próximas semanas?


  • En Europa, a las próximas elecciones, que podrían resucitar viejos miedos y traer otros nuevos, y también a la crisis humanitaria de los refugiados, que está provocando tensiones entre los miembros.
  • Temor a posibles sustos adicionales desde China, vía datos desfavorables (o poco creíbles) o devaluaciones adicionales que pueden desencadenar una guerra de divisas en toda regla.
  • Datos macroeconómicos de los EEUU en los que, supuestamente, la Reserva Federal se basará para sus próximas decisiones.
  • Evolución de algunas guerras, conflictos, y asuntos de intereses geopolíticos, especialmente en Oriente medio (probable agravamiento de sobreproducción energética o al revés, temores por el suministro) y en Ucrania (su silenciada bancarota viene a significar que gran parte de los préstamos occidentales son irrecuperables).
  • A modo personal, varios asuntos más:


Pienso que conviene permanecer atentos a la carrera de Donald Trump por la presidencia norteamericana, que podría tener un peso cada vez mayor debido a sus puntos de vista en cierta medida radicales; y también que los mercados se encuentran en un momento de extrema indefinición en los que avaricia y miedo están equilibrados, en el que todo el mundo parece estar esperando a que alguien más señale el camino para sumarse después a la tendencia, que tanto podría ser un brutal desplome como una recuperación en la que en un principio, pocos creerían; y por último, atención a algunas entidades financieras internacionales y sobre todo, a lo único que ha permanecido casi inmune a todo: la deuda a largo, sobre todo si la inflación finalmente no estaba tan dormida como creíamos o algún país (asiático para más información) lanza órdenes masivas.

Añadiría el tener muy presente cómo distintos tipos de imprevistos afectarían a nuestra cartera y ajustar composición y riesgos en consecuencia, ya que considero que sus efectos podrían ser más extremos en estos momentos. Por poner algunos ejemplos "con muchas papeletas" entre la categoría de desastres naturales:

Un fuerte terremoto en Japón podría catapultar brevemente al Yen (vía repatriación), a las constructoras, petróleo y gas (aplazamiento de reapertura de nucleares) mientras hundiría aseguradoras, tal vez internacionales; o un nuevo Katrina, que dispararía puntualmente las acciones de compañías americanas de gas y petróleo de esquisto, así como las divisas de productores como Noruega, Canadá, Rusia, etc. Por su parte, el fenómeno conocido como "El niño" puede extremar la volatilidad en algunas commodities y divisas durante los próximos meses.

martes, 18 de agosto de 2015

Información Privilegiada


Decía el gran Jesse Livermore algo parecido a esto: "La única información privilegiada que he recibido en mi vida, es la de mi broker pidiéndome más margen".

Margen son las garantías que se nos piden en los productos apalancados. Pues bien, eso ha sucedido hoy, las han aumentado.

La última vez que recuerdo con pasión esta información fue en octubre del 97, justo antes del         20-10-1.997, el día que el IBEX-35 abrió con un gap de un 15% abajo.

Aquí la tabla de variación:


Estos son los datos... suyas son las conclusiones.

martes, 9 de junio de 2015

TSC DAX

El DAX está o ha llegado al objetivo dibujado en este link de este mismo sitio:



COMPAREMOS:


Aunque esté en la zona del objetivo “RESTA DE 3º”, haremos alguna apreciación y distintos escenarios a futuro inmediato.

 

La caída no ha sido lo suficientemente vertical para una resta de tercero.

Ha perdido la directriz alcista primaria

Luego la evidencia de la resta de tercero y vuelta arriba, sin negar que pueda suceder, no está clara. Se abre una ventana osa.

En ese caso habría que abrir más el gráfico para buscar las nuevas zonas.

OBJETIVOS:


Objetivo del segundo impulso 10.700

Ahí debería recortar (hacia arriba) el 0,4% de la caída con objetivo en 11.360 (660 pips)

Si no llegase al 10.700, se consideraría “fallo de segundo”, superaría máximos.

"La suerte es el plan que no se ve"
Hasta la próxima

miércoles, 20 de mayo de 2015

TRUE or FALSE (II)


Nuevo reto, uno de estos dos charts es una invención aleatoria hecha con R y el otro es real.

¿Cuál  es el auténtico?
¿De qué activo se trata?

sábado, 16 de mayo de 2015

¿Nos referimos a esto?


Solo es una película (Sin límites, 2011), pero resume en apenas 1 min algunas de las cosas de las que venimos hablando últimamente.


Pautas bursátiles opuestas



Os paso el siguiente artículo en el que el autor destaca como en la Bolsa americana en este año 2015 se juntan dos pautas que concluyen en comportamientos opuestos. Por un lado se habría llegado a un techo que coincide con un ciclo de 7 años tras el cual siempre se produce una caída de la bolsa, pero por otra parte nos encontramos en el 3er año presidencial. Es en este año cuando el S&P500 experimenta subidas del 18% con una probabilidad del 80% como anticipo del año electoral.

¿que podrá mas esta vez?



Pautas bursatiles a tener en cuenta este año

martes, 12 de mayo de 2015

TRUE or FALSE


Una de estas dos imágenes es cierta, corresponde a un activo financiero real que cotiza en un mercado real.

La otra, es falsa, está creada con un programa que mueve un punto aleatoriamente siguiendo una Proceso Estocástico llamado Cadena de Markov el cual lo condicioné a ciertas características similares a las que tiene un activo real.

Preguntas:
¿Cuál de los dos gráficos es TRUE? ¿el 1 o el 2?
¿A qué activo pertenece el gráfico real?

sábado, 9 de mayo de 2015

Como alguien suele decir, "seguimos..."


Aprovechando el respiro de este fin de semana (en el puente no estuve en casa), ahí van unas notas sobre cómo van las cosas y mis apuestas personales para el futuro próximo.

Petróleo:

En "Petróleo IV" decía que veía poco recorrido a la segunda onda alcista. Pues vaya, desde los 64 dólares, el Brent ha llegado a rozar los 69, así que todavía se habría podido ganar un máximo de un 9% adicional. En estos momentos, con la directriz de aceleración rota, estamos en tierra de nadie por debajo de los 66: tanto podríamos ver los 70 como bajar a apoyarse en la directriz primaria.



Últimamente el precio se viene moviendo fundamentalmente a golpe de noticias sobre el conflicto en Yemen y sobre la evolución del USD/EUR. Considero ambos demasiados impredecibles así que personalmente me mantengo fuera pero he situado orden de compra en 62, sólo "por si suena la flauta", ya que es un buen precio para entrar y esperar tranquilamente, aunque ciertamente está muy alejado de los niveles actuales. Lo que no tomo en consideración es tomar posiciones vendedoras, por que el riesgo no compensa para un recorrido posible mucho más limitado.

Renta fija:

Sobre lo que comentaba el 25 de abril , el Bund a 10 años hizo mínimos en 0'07 y alcanzó los 0'7, multiplicando su rentabilidad nada menos que por diez, con lo que se ha ganado -perdido para una mayoría de fondos- en una sola semana lo que estimaba que llevaría algunas más.


El detonante no ha sido ninguna declaración del BCE si no que se comenta que algunos hedge funds se adelantaron a los acontecimientos y comenzaron a vender deuda masivamente.

Y sin embargo para quien quiera verla, la "declaración" del BCE está bien clara: pudiendo ganar el pulso con facilidad a los fondos, han permitido el hundimiento de los precios hasta que se situaron donde deseaban. Y nadie les culpa de nada. Brillante.

Por el momento el pánico ha cesado y en los dos últimos días la rentabilidad ha corregido una pequeña parte de la subida en vertical. Espero el segundo episodio de histeria para el momento en que la gran masa mundial de partícipes pasivos de fondos vaya comprobando como las pérdidas se acumulan, lo que aún puede tomarse un tiempo (por cierto, apuesto a que cuando ocurra encontraremos cualquier otra justificación en los medios).

En el corto plazo, con la rentabilidad del Bund en el 0,5 actual, ya no veo tan interesante posicionarse en un bando o en otro mientras el mercado no encuentre su nuevo nivel de equilibrio (difícil tarea a la vista de las distorsiones arbitrarias de los bancos centrales). Como mucho, si Grecia y el USD dan juego, haremos algún intradía mientras esperamos el momento para ponerse cortos definitivamente.

Por último, sobre aquella opinión personal de que los traspasos de renta variable a fija y viceversa son un espejismo, ¿no cabría preguntarse por qué las bolsas se han mantenido desde el mismo día 29 de abril sin grandes cambios?

Otros frentes:

Un servidor se ha quedado fuera en petróleo y renta fija, y sobre bolsa, divisas, etc. sigue en su habitual "no sabe, no contesta". Bien, ahora mismo en liquidez se está muy a gusto aunque espero hablar en breve sobre la gran oportunidad que sospecho ofrecerán pronto algunas commodities.

martes, 28 de abril de 2015

Vídeo de como es un broker hoy en día.

Este vídeo extraído del programa Salvados, titulado "Hagan juego" y emitido el pasado 15 de Marzo de 2015, en el que Jordi Ébole entrevista a un asesor financiero español que trabaja en Londres y que forma parte del material en el que me apoyé para mi presentación en el pasado seminario de Mercados Financieros en Sarriko, es de obligada visión por todos los que os animéis a volcaros en el proyecto, porque os confirmará todo lo que os he venido diciendo.



Os iré subiendo más partes ....

lunes, 20 de abril de 2015

Petróleo (IV): formación de precios

Demanda:

Retomando lo dicho en la anterior entrega: el petróleo no puede ser sustituido con facilidad y resulta imprescindible en nuestra sociedad actual, por lo que la demanda mundial de petróleo es altamente inelástica (no cambia sustancialmente ante variaciones en el precio).

Históricamente, ante la persistencia de precios muy elevados, las autoridades y agentes económicos han reaccionado con mucha lentitud, cuando ya es evidente el enorme deterioro en la balanza comercial, en los costes empresariales, etc. Se han visto medidas paliativas de todo tipo en el pasado, desde las meramente publicitarias (aquí hubo un "Tú puedes pagarlo, España no") hasta bonificaciones o bajadas puntuales de impuestos (generalizadas o para algunos colectivos). Todas ellas comparten algo: en un primer momento pretenden tan sólo desincentivar el consumo de petróleo, sin buscar alternativas a su uso; sólo tras algún tiempo se pone sobre la mesa la necesidad de potenciar renovables, diversificar, etc.

Ante descensos en el precio, la demanda tampoco se incrementa instantáneamente. Por ejemplo, una compañía que acabe de invertir en la construcción de plantas de ciclo combinado (en España nos sobran, por cierto), tratará de darles uso antes que desmontarla/reformarla y quemar petróleo. Y si usted se ha comprado un coche eléctrico, no lo va a sustituir a la primera bajada de la gasolina, ¿verdad?

La idea clave aquí es que la demanda varía poco ante el precio y reacciona con lentitud. Y en el momento actual de recuperación, la demanda mundial permanece firme y los bajos precios no estimulan su reducción.

Oferta:

Sí depende en gran medida de los precios. Por debajo de unos 30 dólares, casi no hay ninguna explotación rentable, el "shale oil" lo es a partir de 50, etc.

En los últimos años, algunos productores casi han desaparecido de escena por cuestiones geopolíticas, como Irán o Libia. Por el contrario, la llegada del petróleo de esquisto y sobre todo, la voluntad de Arabia Saudí de tumbar los precios -dinamitando el poderío de la OPEP- han supuesto un grave exceso de oferta. Otros factores, como el contrabando desde el llamado Estado islámico o las fluctuaciones entre divisas no influyen sustancialmente.

En el corto plazo, la oferta se verá condicionada sobre todo por la continuidad o no de la posición de Arabia Saudí sobre no reducir producción. Sobre su estrategia hay quien defiende que trata de dañar a las empresas de petróleo de esquisto de los EEUU y hay quien opina que es un movimiento acordado para dañar a otros productores, especialmente Rusia.

Y un segundo factor muy importante es la posibilidad del levantamiento de las sanciones a Irán por su plan nuclear, por lo que este verano el exceso de oferta sería aún más acusado.

Los mercados están atentos también a factores secundarios como la evolución de las cosas en Yemen (no por su relativamente poco importante producción si no por su situación estratégica y ser escenario del conflicto encubierto entre Irán y Arabia Saudí) o la paralización prevista de algunas explotaciones en Venezuela por mantenimiento y mejora.

En el medio y largo plazo, si los precios se mantuviesen bajos durante tiempo suficiente, la oferta se reduciría por la bajada de inversiones.

Otros condicionantes:

Entre algunos de tipo estacional que afectan a la demanda están, por ejemplo, el comienzo de la temporada de verano en EEUU (las refinerías comienzan ahora a comprar petróleo para afrontar el incremento de demanda de combustibles durante la “driving season”) o el mayor consumo cuando el frío aprieta en EEUU o Europa.

Hay factores que tienden a amortiguar las volatilidad, como el almacenamiento masivo. Las reservas estratégicas de EEUU (millones de barriles bajo suelo) están en máximos, aprovechando los precios bajos. Pero en ocasiones las ha usado a la inversa: vendiendo parte de ellas para forzar bajadas en el precio. También hay petroleros llenos atracados dispuestos a vender su carga en cuanto los precios suban.

Por el contrario, los mercados financieros tienden a incrementar la volatilidad (mayoritariamente se toman posiciones especulativas, no de cobertura). Ni el desplome de finales de 2014 ni la vertiginosa recuperación de estos momentos responden a cambios sustanciales en la oferta o demanda, si no a expectativas de cambio cuya cuantía ha sido amplificada.

Comportamiento reciente de los precios:

Desde un punto de vista chartista, en el Brent comienza a definirse una directriz alcista y otra más reciente de aceleración.




Nada impediría -de no haber sobresaltos en oferta o demanda- que llegase hasta cerca de los 70 dólares, donde se dibujaría el techo de un canal alcista. Sin embargo personalmente creo que a este segundo impulso le queda muy poco recorrido, por dos motivos:

  1. La oferta latente que estaba esperando a los precios adecuados es inmensa y aparecerá pronto en el mercado.
  2. La producción de petróleo de esquisto es muy flexible. Pueden reanudar la producción en cuestión de días, y a partir de estos precios hay algunas a las que ya resulta rentable.

De no haber un vuelco geopolítico, oferta y demanda se sienten cómodas en estos precios. Antes que seguir disparado al alza, en el corto plazo veo más factible que el precio baje a tantear la directriz nuevamente.


miércoles, 15 de abril de 2015

Petróleo (III): Aspectos clave

Resumen:

Pretendo mostrar las dos características fundamentales del petróleo como mera mercancia: es finito e irremplazable. En una segunda parte veremos como éstas y otras consideraciones afectan a la formación de precios, y particularmente, en el contexto actual.

Es finito

El petróleo es una fuente de energía no renovable y como tal, en algún momento comenzará a escasear. Parece ser que, en el caso del petróleo convencional, ya hemos sobrepasado el llamado "pico", por lo que la producción debería iniciar pronto un declive como consecuencia de que los descubrimientos de nuevos yacimientos son cada vez más infrecuentes y costosos.

Se estima que queda petróleo para unas cuantas décadas más y, efectivamente, la producción del "Brent" del Mar del Norte, el de Texas y el de otros muchos campos en estos momentos es ya muy reducida y se rumorea incluso que a Arabia Saudí le quedan reservas mucho menores de las generalmente estimadas (en muchos pozos antiguos inyectan agua que sale mezclada con petróleo, cada vez en proporción menor).

Llegado el momento, no quedará ninguno "a modo de reserva". Al respecto, soy pesimista. La humanidad terminará por quemar hasta el último hidrocarburo que encuentre, más tarde o más temprano. Los acuerdos contra el cambio climático, la protección de espacios naturales, etc. tal vez ralenticen un poco lo inevitable, nada más. Si no es un gobierno, será el siguiente, y si no es a unos precios, será a otros más elevados, pero no quedará yacimiento por explotar. Imaginen lo siguiente: si un día tenemos el litro de gasolina a 10 euros y se descubre petróleo en Doñaña, ¿alguien esperaría que, convocada en referendum, la misma ciudadanía no sacrificaría "esos bichejos que paran por allá" a cambio de un buen puñado de euros?

Los petróleos pesados contaminan más y son más costosos de refinar que los ligeros, pero vienen siendo explotados igualmente y también se agotarán en unas décadas.

¿Hay otros petróleos? Sí. El procedente de arenas bituminosas, aún más caro de explotar (en la actualidad Canadá casi en exclusiva) y el "shale oil", petróleo de esquisto, equivalente al "fracking" usado para el gas natural. Ésta es una técnica reciente y polémica por el impacto medioambiental, pero ha permitido recientemente a los EEUU la independencia energética, estando en situación casi de pasar a ser exportador neto. De todas formas, este tipo de yacimientos se agotan con mucha rapidez, por lo que no cambian gran cosa las perspectivas a largo plazo.

En el futuro podríamos usar petróleo sintético procedente de la hidrogenación del carbón (del que hay reservas probadas para algunos siglos), y tal vez, el producido industrialmente por microorganismos, que a su vez requiere aportes energéticos (léase grandes extensiones soleadas e instalaciones muy costosas para cultivar algas).

En ambos casos estamos hablando de un petróleo muchísimo más caro que el actual. Y si damos crédito a teorías alternativas, el petróleo no sería de origen fósil, si no geológico, se formaría en la corteza terrestre, por lo que nunca se agotará, mientras otras proponen formas de fabricarlo que, sencillamente, rayan lo absurdo.

En cualquier caso, a la vista de los avances tecnológicos, resulta tentador pensar que habría de durar más, que cada vez necesitamos menos petróleo (sin ir más lejos, compárese el consumo de los automóviles de hoy en día con los de hace décadas) y sin embargo -paradojas de la economía- resulta que las mejoras en la eficiencia en el uso de un recurso suelen conllevar un incremento de su demanda.

Es irremplazable

Desde mi punto de vista, no hay ninguna otra fuente energética comparable. El petróleo es tremendamente eficiente, contiene mucha energía en poca masa, es sencillo de transportar e inherentemente mucho más seguro que el gas, nuclear, etc. Sustituírlo -en lo posible- por alternativas como el gas natural significa sólo agotar éste a su vez rápidamente.

En el caso particular del transporte y locomoción, la electricidad parece prometedora pero no olvidemos que no es una fuente primaria de energía, sólo un vector de almacenamiento, y hay que obtenerla de alguna otra forma. Lo mismo ocurre con el hidrógeno y otras propuestas en estudio (obviando cuestiones aún no bien resueltas sobre eficiencia y seguridad).

Es cierto que la energía nuclear produce electricidad barata pero cabe preguntarse si los riesgos merecen la pena. A pesar de lo que pueda parecer con Chernóbil, Three Mile Island, etc., la humanidad ha tenido hasta ahora una suerte increíble con los accidentes nucleares. Baste pensar que en el reciente caso de Fukushima, si el viento no hubiese soplado sostenidamente hacia el pacífico durante lo peor del desastre, ahora mismo Japón sería un recuerdo.

Que no era una energía tan barata como parecía, es algo que ahora tiene claro la arruinada propietaria (Tepco) y también el bolsillo de todos los japoneses, que le ha tomado el relevo. Vaya herencia que dejaremos a las generaciones futuras en forma de residuos de larga duración, algunos con una vida media de cientos de miles de años (e inocuos en mucho más tiempo). Pero queremos confiar en que bien enterrados, no asomarán antes el hocico.

¿Y ya hemos dicho que el Uranio también se agotará en unas décadas? Con precios más elevados se podrían explotar algunos yacimientos más, podríamos llegar a emplear Torio y también mejorar el reprocesamiento de combustible agotado, pero con todo, sólo añadimos otras pocas décadas en el mejor de los casos.

La gran esperanza hoy en día es la fusión nuclear (a grosso modo supone crear y domesticar un pequeño sol artifical a partir de elementos del agua marina), pero una cosa es el progreso científico y otra la viabilidad comercial. Siendo realistas, por mucho que avance la ingeniería, el desafío tecnológico parece insuperable en mucho, mucho tiempo.

En cuanto a las renovables, tampoco cabe ser muy optimista por diversas cuestiones de eficiencia y disponibilidad. En breve: casi siempre será necesario complementar el "mix" con otras energías; hoy por hoy, en la mayoría de situaciones no es realista un 100% de consumo de energía "verde".

Además, en cierta forma, las renovables de hoy en día están "subvencionadas" por las energías fósiles: la maquinaria pesada que levanta parques eólicos funciona con gasoil, la fabricación de placas fotovoltaicas consume mucha electricidad, etc. Lo inteligente en estos momentos sería emplear el petróleo barato para acelerar en lo posible el desarrollo de las renovables y estar así mejor preparados para las vacas flacas, pero eso sería tanto como pedir a los gobiernos que piensen más allá de sus legislaturas.

Se dice que somos una civilización que "come petróleo", y comparto la opinión. Sin el petróleo sería imposible que unos pocos agricultores obtuviesen ingentes cosechas para alimentar a tantos urbanitas.

Una última consideración: aunque un día la ciencia encuentre el Santo Grial energético que pueda sustituír al petróleo, seguirá siendo imprescindible como matería prima para la industria química, fabricación de plásticos, cosmética, etc. Y curiosamente... ¡nos dedicamos a quemarlo!

Nota 1:

Si encuentras que en el artículo me inclino a favor de las renovables y en contra particularmente de lo nuclear, es que no he conseguido ser tan objetivo como pretendía. Efectivamente, esa es mi posición. En mi descargo puedo decir que no tengo intereses personales en el sector energético, mis opiniones son las alguien "de a pie" que trata de informarse lo mejor posible.

Nota 2:

El viernes 10 entré en CFDs sobre petróleo con vista a subidas en el medio plazo, pero tuve la suerte de un regalo caído del cielo en un par de días, agarré el dinero y cerré la posición. Así que el martes me quedé fuera... y parece que sigue al alza :(

Mi plan B: subidas sostenidas en el petróleo despiertan pronto fantasmas inflacionistas así que estoy corto en Bund a 10 años, que además casi ha agotado el recorrido (el BCE no compra activos con rendimiento negativo).

Nota 3:

He decidido no poner bibliografía por dos motivos: primero, por que en la práctica casi nadie revisaría otra cosa que un par de enlaces en internet, como mucho, y segundo, por que me llevaría más tiempo tratar de averiguar de dónde he sacado cada cosa que redactar el artículo en sí mismo. En todo caso, quede constancia de que considero a este artículo como una mera opinión personal.

sábado, 4 de abril de 2015

Prepárate para el Crash del 2015 (artículo)


Una curiosidad encontrada en la red, nunca descartable...

Get Ready for the 2015 Market Crash

Get Ready for the 2015 Market Crash
Over the past five years, we've enjoyed one of the longest, and most generous, bull markets in history.
But all good things must come to an end.
No bull market lasts forever, and this one has about run its course.
You don't have to take my word for it.
There's plenty of historical precedent to make the case for me...
You see, since 1928, the average duration of a bull market is 57 months. This one is now 71 months running. It's also returned 190%, compared to the average 165%.
Valuations have gotten so high that financial consultant Andrew Smithers believes we're in the third-biggest stock bubble in history.
Looking at key long-term measures, Smithers says U.S. stocks are now about 80% overvalued. And since 1802 (when data was first tracked), there have been only five times when stocks have been more than 50% overvalued: 1853, 1906, 1929, 1969, and 1999.
Each one of those years marked the peak of a massive, once-in-a-generation stock-market bubble. And only two of those bubbles (1929 and 1999) were bigger than today's.
Of course, historical precedent isn't the only headwind this market faces. Looking forward, anyone can see things are getting bad.

Global Economy Stalling

The engines of the global economy are stalling, one by one.
Mature economies, like Europe and Japan, are hardly growing at all.
Eurozone growth came in at 0.9% last year, and the OECD forecasts just 1.1% growth in 2015. Low inflation is a concern, as well, with prices expected to edge up just 0.6% this year. Worse, some countries in Europe have already seen deflation, forcing the ECB to rush to the rescue with stimulus efforts.
Things are even worse in Russia, which is lumbering under the weight of Western sanctions and cratering oil prices.
Russia's currency is at an all-time low vs. the dollar, and the country's own finance minister expects a 3% economic contraction in 2015. Other analysts are predicting far worse.
Japan continues to languish in its decades-long malaise. And in China, the days of 10% and 11% growth are but a memory.
The country's economy expanded just 7.4% last year, its slowest pace since 1989. And it's expected to slow even further this year.
And without China's sprawling manufacturing base, commodities-driven economies from Brazil to South Africa have lost the key export market that supported their growth for so long.
And the United States?
Well, we're doing better than most, but that's not saying much.

Damned If You Do...

The U.S. economy grew just 2.2% last year, and will see only a 2.9% expansion in 2015.
Going forward, the United States can pursue one of two paths...
If growth remains resilient, the Federal Reserve will continue to rein in monetary policy and follow through with a rate hike.
The other possibility is that the U.S. economy succombs to weak global growth, and tumbles back into a recession itself.
Either way, stocks go down.
A severe correction is inevitable, and as I said earlier, long overdue.
Analysts can dress it up however they want but the truth of the matter is that every bull market in history can be broken into just three phases:
  • The Accumulation Phase: This is the period at the end of a downtrend when informed investors — hedge funds, money managers, politicians, etc. — start snatching up shares on the cheap.
  • The Public Participation Phase: As the market bottoms and begins its rebound, public fear and apprehension towards investing subsides, and retail investors retest the waters.
  • The Excess Phase: Finally, momentum picks up and exuberance takes over. When that happens, a bear market is born, as the informed investors from Phase 1 bail out and leave retail investors holding the bag.
We're in Phase 3 right now.
You saw what happened when the Dow plunged 1,100 points from September 19 to October 16. It was a blood bath.
Well guess what: Those weren't retail investors dumping their holdings, that was Wall Street.
And it's just the beginning.
Since that modest correction, stocks have bounced back, soaring to yet another record high.
That's totally unreasonable, and unsustainable, given the state of the global economy and the likelihood of a rate hike this year.
Even Federal Reserve Chairman Janet Yellen is calling it a bubble.
“Valuation metrics in some sectors do appear substantially stretched,” she said. “Moreover, implied volatility for the overall S&P 500 index, as calculated from option prices, has declined in recent months to low levels last recorded in the mid-1990s and mid-2000s.”
Translation: Stock prices are too high, and investors are too complacent.
Admitedly, that's a bit ironic considering it was the the Federal Reserve that opened Pandora's box by plying the markets with limitless, virtually free capital. But she's right. It's the end of the line.
The question is, then, what to do about it...

When All Else Fails...

One option is to buy gold.
There's always a flight to safety when things go south, and precious metals benefit. If you don't own gold — either physically or through an ETF — now is a good time to buy some.
Gold prices have withered over the past year, mostly because investors — large and small — pulled their money out of precious metals and put it in stocks to chase the bull market.
That's a decision they'll come to regret if they don't take the proper precautions now. Soon, the trend will reverse. Stocks will plunge and everyone who's caught off guard will suddenly storm back into gold.
Another thing you might consider is adding an inverse ETF to your portfolio.
There are plenty to choose from:
  • Rydex Inverse S&P 500 Strategy Fund (RYURX): One of the more traditional bear funds, RYURX delivers a return opposite to what the S&P 500 does. So if the S&P 500 goes down 5%, it goes up 5%.
  • ProShares UltraShort S&P 500 (SDS): This fund is leveraged to give you twice the return of any drop in the S&P 500. For example, if the S&P 500 loses 5%, this fund goes up 10%. Be warned though, if the market goes up 5% this fund goes down 10%.
  • ProShares UltraShort Russell 2000 (SRTY): This is a more aggressive play. Small caps are more vulnerable to sell-offs, and this fund targets the sector by delivering a return that is three times larger than any decline in the Russell 2000 index.
Again, the thing to remember about these funds is that they'll lose value so long as the market keeps going up. But the potential rewards can be great if the market suffers a setback.
Used appropriately, even a small allocation of your capital could more than make up for any losses you sustain in a market crash.

Una posibilidad de inversión?

viernes, 3 de abril de 2015

Gas Natural (Continuación V)


Continuamos dentro del mercado en una situación de indefinición relativa. Digo relativa porque se está configurando un patrón de triángulo rectángulo que, por lo general, es continuación de tendencia, luego alcista. 
Podemos subir levemente nuestro Stop Loss a 20.5.


jueves, 2 de abril de 2015

OPCIONES - GRIEGAS - DELTA

DELTA





Hola amigos,

Hoy voy a hablaros de la delta. Y para ello he pensado en comparar la delta con una batidora. Ya que la batidora tiene la función de batir.

Nuestra batidora tendrá dos velocidades hacia un lado y dos velocidades hacia el otro.

Espero que se me entendáis mejor que cuando os expliqué lo de cerca y lejos.




La delta es la primera derivada de la función del precio. Nuestra batidora cuando bate hacia la derecha a máxima velocidad tiene delta 1, si batiese a media velocidad tendría delta 0,5. Por qué no puede ser la delta superior a uno, por matemáticas porque la derivada de una función nunca puede ser mayor de 1 en valor absoluto. Lo mismo sucede con la batidora su función es la que es, como en matemáticas.






Cuando nuestra delta es positiva se dice que estamos comprados, también se dice largo, toro, bullish, alcista…

Ganaremos si sube lo que tenemos comprado, y perderemos si baja. A más delta mayor ganancia si sube y mayor pérdida si baja.




¿Significa esto que no podremos tener deltas superiores a 1?
NO, pero para eso tendremos que comprar más batidoras, cada batidora nos aportará como máximo delta 1.

______________________________________________________________________

Ahora vamos a girar la batidora a la izquierda, de esta manera ganaremos si baja. ¿Cuánto? Pues depende de la velocidad de la batidora (delta) si la llevamos al máximo (delta -1) ganaremos 1 por cada unidad que baje. Si la llevamos a media velocidad (delta -0,5) ganaremos la mitad de lo que baje, y perderemos la mitad de lo que suba.





Corto, oso, bajista, bearish, son palabras para definir nuestra posición en el mercado que nos beneficia si éste baja.

Y recordaros que no es obligatorio tener posición, la mejor batidora es la que bate en el buen sentido y no estropea las claras de los huevos y la mahonesa.


Hasta el próximo episodio amigooooooooosssssss…..


Links de referencia  (no tan serios como este claro):

Nociones sobre Procesos Estocásticos y Cadenas de Markov

R primeros pasos

miércoles, 1 de abril de 2015

La Teoría del Mercado Eficiente

El concepto de mercado eficiente o hipótesis del mercado eficiente (en adelante, HME) (Efficient-market hypothesis (EMH)) surge de la idea de suponer que en la valoración o precio de un activo lleva implícito toda cuanta información existe sobre él.


Según esta teoría el precio es la situación de equilibrio producto de la competencia entre los intervinientes.

En otras palabras, esta teoría mantiene la hipótesis de que todo el Análisis Fundamental, el Análisis Técnico, el comportamiento dinámico, la información privilegiada, la tendencia global del mercado, la información tendenciosa, las  manipulaciones, todo, todo lo que pueda existir que influya en un activo financiero, está instantáneamente incluido en el precio de cotización.

Ahora bien, esta teoría puede ser dulcificada gradualmente, por ello existen tres niveles

La hipótesis débil

Si estamos en el nivel débil, supondremos que la cotización actual es correcta y refleja todo el pasado, luego lo que queda por venir no está reflejado y no es predecible porque nadie lo sabe (excepto información privilegiada no aplicada todavía).

Según esta hipótesis, cualquier intento de predicción del precio futuro basado en precios históricos es inútil porque está a disposición de todos los intervinientes y todos la saben utilizar. Por ello hay una ausencia de leyes, reglas o pautas que permitan batir al mercado.

En conclusión, esta hipótesis viene a concluir que el Análisis Técnico es inútil. Por ello la búsqueda del Santo Grial, de encontrar concomitancias entre osciladores y precio que permitan adelantarse al mercado, es una absoluta quimera.

Tampoco tienen cabida pues, la búsqueda de patrones de comportamiento, incluida la onda de  Elliott.

El único dato valorable para poder tomar decisiones en cuanto a la próxima cotización está únicamente en el precio actual a tiempo presente.

Desde el punto de vista matemático, esta hipótesis mantiene que el comportamiento del precio sigue el modelo de Paseo Aleatorio (Random Walk) o, equivalentemente, un proceso estocástico denominado una Cadena de Markov, donde el precio siguiente al producido hoy será probabilísticamente independiente y aleatorio en magnitud y sentido.

De ser esta hipótesis correcta, todo trader o todo sistema de trading que pretenda adivinar precios futuros está condenado al fracaso.

La hipótesis semifuerte ( o media)

Según esta hipótesis el precio refleja, de forma instantánea, no sólo son los históricos sino también toda la información conocida disponible del activo, su contabilidad, sus resultados, sus proyectos, sus investigaciones, etc.

Si la hipótesis anterior dejaba al Análisis Técnico como inválido, esta hipótesis media invalida toda utilidad al Análisis Fundamental.

Solo es de utilidad lo que es desconocido para la masa de inversores. Ya lo decía Gordon Gekko en la película "Wall Street": "Venga chaval, dime algo que no sepa"

La hipótesis fuerte
Esta hipótesis sostiene que el precio contiene de forma instantánea, no solo la información pública disponible sino, además, la información privada o privilegiada.

En consecuencia, nadie sería capaz de obtener rendimientos mejores que los propios del mercado en base a un sistema de trading de cualquier tipo, incluyendo el uso de información prohibida.
Y tiene su lógica, porque si tu fueses el CEO de una sociedad, nadie mejor que tu conoce tus proyectos, tu estado finan cierto, tus expectativas, tus debilidades y las estimaciones de tu futura proyección. Y si lo sabes tú, lo sabrá tu entorno, es decir, tu familia, tus amigos íntimos, etc. Y lo que vosotros hagáis moverá de una u otra manera el precio influyendo sobre esa Cadena de Markov que imprime ese movimiento aleatorio, deformándolo en alguna forma que lo deja incorporado a su cotización.
En la actualidad, la teoría de la HME admite que los intervinientes tienden a ser racionales pero mantienen que dentro de esa racionalidad habrá agentes qun sobreponderarán cada información y otros que la infravalorarán, resultando al final que cada noticia se interpretará siempre dentro de una distribución normal de modo que, en promedio, en el mercado nunca se podrá actuar con ventaja. Igual que en los casinos, vaya. A menos que vengan la familia Pelayo a estudiar las ineficiencias de las ruletas o Rainman (Dustin Hoffman) a contar las cartas en el Black Jack.

 

Conclusiones

Así pues, ninguna de estas afirmaciones para cualquiera de estas hipótesis resulta descabellada. Más bien todo lo contrario, resultan más que coherentes.  Fíjate que:
·        
Se han realizado miles de estudios estadísticos por parte de las más prestigiosas mentes de las mejores universidades y éstos siempre concluyen en que el precio se comporta de forma aleatoria.
·         En la evolución de los fondos de inversión a lo largo de  su historia raramente se logra batir al propio mercado, que viene a ser el placebo comparativo. Os obvio que este juego se suma cero, a alguien le tiene salir mejor y a alguien peor, pero todos los estudios realizados durante fuertes tendencias  que se hayan mantenido durante largos periodos, concluyen que prácticamente ningún trading de ningún fondo batió al propio mercado. Y si los hubo, hubo otros tantos perdedores que equilibran la situación.

·         Los rendimientos de personas investigadas en USA proclives a haber usado información privilegiada demuestra que este uso es frecuente, sin embargo como toda la información financiera está disponible para todo el mundo, nada evita que los inversores que no manejan dicha información privilegiada puedan imitar a los que sí lo hacen. De hecho, una estrategia de inversión habitual es replicar lo que hacen los que más éxito tienen. O, simplemente, invertir donde invierten los mejores, o incluso a través de ellos mismos.

Esto justifica que muchísimos fondos se dediquen a ofrecer no más allá de un rendimiento que replique al propio índice subyacente y nunca garantizan rendimientos superiores a la media del mercado.

 

Un poco de historia

Hoy en día, en la era del Trading de Alta Frecuencia, resulta intrigante el saber cuándo se empezaron a debatir estas hipótesis. La primera vez de la que se tienen referencias esta expresión del mercado eficiente fue en el año 1900, en un ensayo de Louis Bachellier. matemático francés pionero en matemática financiera, que fue el que modeló el denominado Movimiento Browniano (Brownian Motion) como un proceso estocástico, todo ello incluido en su obra "La teoría de la especulación" Igual que Ralph Elliott, su trabajo se sumió en el olvido hasta los años 1950, aunque diversos autores corroboraron previamente sus resultados como las llevadas a cabo por Alfred Cowles en los años 30 que concluye que los gestores profesionales. mayoritariamente, no eran capaces de obtener rendimientos superiores a los que lograba el índice.

Y, paralelamente, igual que ocurrió con la Teoría de la onda de  Elliott, pero una década antes, en los 60s la hipótesis del mercado eficiente fue objeto de amplia controversia.
Pero fue el economista Eugene Fama, profesor doctor (PhD que dicen en inglés) de la Escuela de Empresariales de Universidad de Chicago, entre 1965 y 1970 quién publicó la teoría tal y como la hemos expuesto aquí, incluyendo las hipótesis débil, media y fuerte, dándole rigor a las conjeturas empíricas planteadas por Louis Bachellier. Eugene Fama recibió en el 2013 el Premio Nobel de Economía. Otro premio Nobel, Paul Samuelson, publicó por aquel entonces, una "prueba" de esta hipótesis.

Tanto Premio Nobel envuelto en el asunto no debe hacerte llegar a ninguna conclusión de veracidad en el meollo. Y menos hacerte sentir un gilipollas ante tanto lumbrera, que diría Milín. Recuerda siempre que otro Premio Nobel, Myron Scholes, creador de la fórmula de Black-Scholes acompañó al fondo de inversión asesorado por él, el celebérrimo LTCM, a una estrepitosa ruina.
Por otra parte, ten siempre presente que en los Mercados Financieros ni las pruebas son pruebas, ni las reglas son reglas, y mucho menos las leyes son leyes. Estas palabras son simples eufemismos que tratan de dar rigurosidad a algo que no lo tiene.

Y siguiendo nuestra historia, desde Eugene Fama muchos economistas han aportado estudios a esta teoría, unos a favor, otros en contra. Algunas cosas se comprobaron estadísticamente, por ejemplo que el anunciar cada año subidas de dividendos hace menos aleatorio el camino a recorrer por el activo y mucho menos si lo que anuncias son recortes de dividendo.

Hasta los años 90s (del Siglo XX, claro)  la hipótesis de eficiencia de los mercados es aceptada por regla general por el ámbito académico. Sin embargo, también han sido aluvión los trabajos publicados que confirman ineficiencias puntuales. Sobresale un grupo emergente de economistas denominados de las "finanzas conductuales"  o conductistas o del comportamiento, que han venido ofreciendo pruebas de dicha ineficiencia proponiendo nuevas teorías que añaden la componente racional al comportamiento de  los mercados, introduciendo los socorridos términos de las creencias los cuales afirman que, aparte de la componente aleatoria, los mercados se ven alimentados por decisiones de sus intervinientes que tienden a cumplir dos reglas:
·        
  • Cuando un interviniente del mercado recibe nueva información, no actúa aleatoriamente sino que tiende a tomar decisiones acordes a sus creencias.
  • ·         Los intervinientes, además, tienden a optimizar sus decisiones en base a obtener un máximo rendimiento o utilidad subjetiva esperada.

Como siempre, a cada afirmación le surgen detractores y es famosa la crítica del periodista financiero Roger Lowenstein que culpa a estas teorías de la Crisis Financiera del 2007, afirmando textualmente que "La ventaja de la Gran Recesión actual es que podría ser como una estaca en el corazón del Nostrum académico conocido como la hipótesis del mercado eficiente."

No sólo ganaron el Premio Nobel sueco los defensores de la HME. Los economistas Joseph StiglitzGeorge Akerlof y Michael Spence  lo lograron por sus trabajos sobre mercados con información asimétrica, donde exponen las inconsistencias, anomalías, ineficiencias y fallos de los mercados financieros derivados de la denominada información asimétrica.

Otros críticos, los gestores de fondos, ante estas teorías académicas alegan que: "Los que saben no hablan y los que hablan no saben".

Pero cada crítica tiene su respuesta, a las anomalías de la HME, los conductistas aducen situaciones de sesgo propias de la propia distribución normal que podrían ser producto no solo de la sobre o infravaloración de una información, sino  por motivos asociados a la propia conducta humana como nerviosismo, estado anímico, exceso de confianza, etc.  

Los crack bursátiles son otro ejemplo reiterativo de ineficiencia de la HME. Normalmente motivados por el pánico, mueven el mercado de forma compulsiva y provocan reacciones en cadena de los agentes. Y un movimiento aleatorio no tiene sentimientos, luego tampoco tiene pánico. En el lunes negro de 1987, con el desplome habido, no se han encontrado causas objetivas que justifiquen lo sucedido. ¿fue aquello un paseo aleatorio? ¿un proceso estocástico?

Hay estudios que confirman la existencia de componentes estacionales en algunos activos (autopistas, por ejemplo, que en épocas vacacionales aumenta sensiblemente el tráfico) y otros que, mediante el análisis de factores, a largo plazo superan al índice.

Hoy en día con el auge de los Hedge Funds y del Trading de Alta Frecuencia, con millones de órdenes robotizadas diariamente, surgen nuevos comportamientos anómalos que se alejan de la HME,  como el de la "quiebra súbita" donde un mal algoritmo en la programación puede ocasionar en segundos el derrumbe de un activo, como ya pasó en más de una ocasión en las que hubo que suspender las cotizaciones en los mercados unas veces el americano y otras alguno europeo.

Hablar de racionalidad en los mercados es también, por otra parte, algo temerario pues como dijo John Maynard Keynes: "Los mercados tienden a permanecer irracionales más tiempo del que tu puedes permanecer solvente". Curiosamente hoy que hemos citado a tantos premios Nobel, Keynes no recibió este prestigioso premio, se les escapó a los de la academia sueca. Como cierto tipo de consolación, tuvo un cuñado, Archibald Hill, que si lo obtuvo. Quedó todo en familia.


Y si lo que me preguntas es cuál es mi opinión personal, que probablemente no me la pidas, pero te la diré igual, estoy más de acuerdo con esta teoría conductivista que con la de la eficiencia pura. En general, de lo que estoy convencido es que la Economía tiene mucho más de esotérico que de ciencia y que las matemáticas en los mercados financieros solo sirven como métrica. También pienso que cada vez que se realiza una operación es porque se ha encontrado a alguien que opina lo contrario, luego tenemos un interviniente acertado y uno equivocado viajando en una nave que es el mercado que, siempre, tiene la razón. También pienso que hay dos ingredientes en los mercados que no menciona la HME: la manipulación y la psicología de masas. Y por último también pienso que si en las dos últimas décadas se han publicado cientos de ineficiencias de la HME, denominadas anomalías, pues nosotros tenemos que encontrarlas y utilizarlas. Por todo ello, mi conclusión, es que hay que seguir investigando sin desfallecer.

La próxima vez no preguntes.


Fuentes
Un paseo aleatorio por Wall Street por Burton G Malkiel (Alianza Editorial)
http://www.enciclopediafinanciera.com/gestioncarteras/teoria-de-la-eficiendia-de-los-mercados.htm
http://es.wikipedia.org/wiki/Hip%C3%B3tesis_del_mercado_eficiente
http://www.sf1soft.com/index.php/blog/71-teoria-del-mercado-eficiente

sábado, 28 de marzo de 2015

Jornadas Big Data en La Coruña

http://www.seio.es/Noticias-inicio/Jornada-sobre-Big-Data-y-Estad-stica-2.html

Jornada sobre Big Data y Estadística
lunes, 16 de marzo de 2015

El próximo 19 de junio de 2015 tendrá lugar una Jornada sobre Big Data y Estadística en la facultad de informática de la Universidad de LA Coruña. Esta jornada está organizada por la Sociedade Galega para a Promoción da Estatística e da Investigación de Operacións (SGAPEIO), el grupo de investigación Modelización, Optimización e Inferencia Estadística (MODES) de la Universidad de La Coruña (UDC) y la Red de Tecnoloxías Cloud y Big Data para HPC.

La jornada incluye un programa de sesiones plenarias y un minicurso.

La inscripción en la jornada e gratuita, pero aún así es necesario inscribirse, la fecha límite es el 7 de junio de 2015.

Sesiones Plenarias:
 - Amparo Alonso Betanzos, Universidad de La Coruña.
Ery Arias Castro, University of California, San Diego.
Carme Artigas Brugal, Synergic Partners, Barcelona.
Daniel Peña Sánchez de Rivera, Universidad Carlos III de Madrid.
Taller de Big Data: Análisis estadístico de redes con R
Pedro Galeano San Miguel, Universidad Carlos III de Madrid.

Más información: http://bigdata.sgapeio.es/

viernes, 27 de marzo de 2015

Las letras griegas en los Mercados Financieros


Volatilidad (o sigma σ) mide la fluctuación del precio.
Es una medida estadística de dispersión. Podemos calcularla mediante la desviación estandar σ (típica) o bien mediante la varianza σ2.

Otra fórmula más básica de cálculo, pero razonablemente descriptiva, sería el rango del intervalo donde se mueve el precio dividido por el precio mínimo (Low): (H-L)/L

  • Una σ volatilidad alta implica que el precio se convulsionó mucho, o violentamente, durante un periodo (ya sea días, semanas o incluso solo minutos) lo que queda reflejadoi en una sensiblemente mayor  longitud de la barra de precios.
  • Una σ volatilidad baja implica tranquilidad del mercado, día soso y, normalmente,  sin apenas volumen. La barra de precios resulta corta comparativamente a las demás.

Vega

Mucha gente la confunde con la volatilidad. La vega mide la sensibilidad del precio a las variaciones de la volatidad. Es una ratio entre ambas.
O mejor dicho, las matemáticas siempre sirven como culminación del lenguaje formal, es su derivada:
  • Vega > 0 implica que si sube la volatilidad sube el valor de tu cartera
  • Vega < 0 implica que si sube la volatilidad disminuye el valor de tu cartera
NOTA Como vega no es realmente una letra griega  , pues el símbolo

es realmente el de la nu griega) algunos autores usan en lugar de la vega la griega kappa  

y otros la griega tau, 




Beta β es una medida de la volatilidad (o riesgo sistemático) de un activo o un portfolio comparado con la globalidad (un indice).

Se calcula mediante el análisis de regresión y se podría interpretar como la tendencia de la rentabilidad de un activo para responder a las ondas del mercado
  • Beta 1 indicaría que el precio se mueve con el mercado
  • Beta >1 indicaría que el activo se mueve con mayor volatilidad del mercado
  • Beta <1 indicaría que el activo es menos volatil que el mercado
http://www.investopedia.com/terms/b/beta.asp

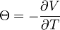
Delta δ ∆  [-1, 1] mide la sensibilidad del valor teórico de una opcion al cambio de precio del activo subyacente (correlación). 
En matemáticas a esto le llamamos derivada del precio respeto al subyacente. También velocidad o pendiente.
Una definición más intuitiva es la de que la delta significa cuanto debe cambiar el valor de una opción para que el precio eleve 1 $
  • Delta 1 significa que la el activo subyacente y la opción suben en la misma proporcion
  • Delta 0.5 significa que si el activo sube 100% la opción sube 50%
  • Delta 0.1 significa que si el activo sube 100% la opción sube 10%
  • Delta -0.5 significa que si el activo sube 100% la opción pierde 50%
gamma γ  Γ mide el ratio de cambio en la delta.
En matemáticas a ésto le llamamos derivada de la delta, es decir, segunda derivada respecto del precio entre el subyacente. En Física aceleración.

  • Gamma >0 se asocia a pagar primas
  • Gamma <0 se asocia a cobrar primas

theta θ es una medida de la sensibilidad de una opción a la disminución del tiempo hacia su vencimiento.
Así, en matemáticas sería su derivada 

  • Theta > 0 implica que el paso del tiempo beneficia a la opción
  • Theta < 0 implica que el paso del tiempo hacia el vencimiento nos causa pérdidas

Fuentes: 
http://greekstrading.com/sites.google.com/site/greekstrading/riesgos.html
http://es.wikipedia.org/wiki/Griegas_%28finanzas%29
http://www.investopedia.com/articles/optioninvestor/04/121604.asp